
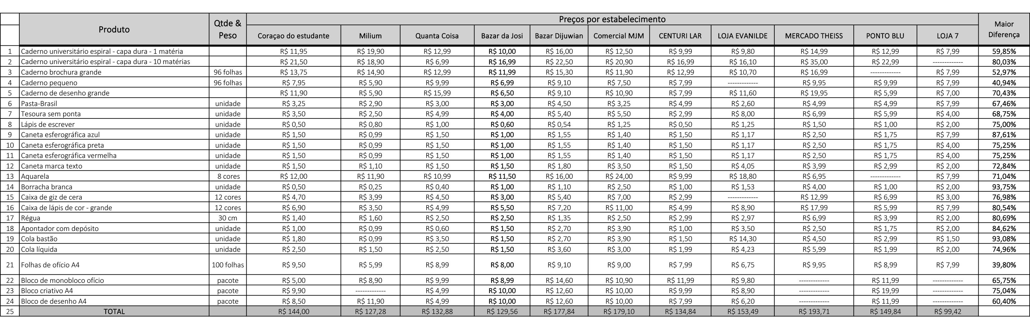
O início do ano letivo está se aproximando e o Procon de Gaspar realizou uma pesquisa de preços dos materiais escolares para auxiliar os pais na hora da compra. Foram analisados os preços cobrados em 11 estabelecimentos da cidade, levando em consideração os materiais solicitados pelas escolas.
O levantamento foi realizado entre os dias 16 e 21 de janeiro e os preços podem sofrer alterações sem aviso prévio, conforme determinação de cada loja.
A diferença entre os estabelecimentos pode chegar em 60,4% em alguns itens. Confira abaixo o comparativo completo.

A orientação do Procon é de que os pais fiquem atentos aos produtos com personagens e logotipos licenciados, que podem se tornar mais caros. Outra dica é reaproveitar os materiais dos anos anteriores que ainda estiverem em bom estado e também praticar a doação de livros e uniformes.
Para aqueles que optarem pela compra na internet, é importante verificar a qualidade do material, prazo de entrega, valor do frete e idoneidade do fornecedor. Além disso, outro ponto que deve ser analisado é a diferença de valores conforme a forma de pagamento.
Os pais também devem observar a lista de materiais enviada pelas escolas, verificando se as instituições estão indicando fornecedores ou marcas específicas, o que é proibido (exceto para livros e apostilas). Produtos de higiene, limpeza e escritório, como copos e algodão, não devem ser solicitados.
Copyright Jornal Cruzeiro do Vale. Todos os direitos reservados. É proibida a reprodução do conteúdo desta página em qualquer meio de comunicação, eletrônico ou impresso, sem autorização escrita do Jornal Cruzeiro do Vale (contato@cruzeirodovale.com.br).